🪴 Quartz 4.0

Search

SearchSearch
            • Øving 1 forelesning
            • Softmax
            • Central Moments
            • Correlation
            • Covariance
            • Expected Value
            • Moments
            • Probability Density Function
            • Probability Distrubution Function (Cummulative)
            • Variance
              • Oversikt AlgDat
              • Øving 6
              • Counting Sort
              • Stable matching algorithms
              • Unstable Matching Algorithms
            • ==Pasted== image 20231128122428.png
            • 3-CNF-SAT
            • Abstrakte problemer
            • Aktivitetsproblemet
            • Algorithms
            • Algoritme - Algorithms
            • Antiparallelle kanter
            • Asymptotic Notation
            • Balansert binærtre
            • Banesammenligning - Path Compression
            • Bellman-Ford
            • Beslutningsproblem
            • Bevis - Masterteoremet
            • BFS-LABELING
            • Binær tre
            • Binære søketrær
            • Binærrelasjon
            • Bipartitt graf
            • Bredde-først søk (BFS)
            • Bucket Sort
            • Build-Max-Heap
            • Change base logarithm
            • CIRCUIT-SAT
            • CLIQUE
            • Co-NP definert ved formelle språk
            • CONNECTED-COMPONENTS
            • Dag-Shortest-Paths
            • Datastruktur
            • Del 3 - Data Structures
            • Del 5 - Advanced Data Structures
            • Del 6 - Graph Algorithms
            • Delsekvens (Subsequence)
            • Dens graf - Dense Graph
            • Dijkstras algoritme
            • Disjunkt-mengde skoger
            • Disjunkte mengder
            • Divisjonsmetoden - Division Method
            • Dybde-først søk (DFS)
            • Dynamisk programmering
            • Edmonds-Karps algoritme
            • Enkel sti
            • Enkoding
            • EXTENDED-SHORTEST-PATHS
            • FASTER-APSP
            • FIND-SET
            • Flere kilder eller flere sluk
            • Floyd-Warshalls algoritme
            • Flyt
            • Flytnett
            • Flytverdi
            • Ford-Fulkerson
            • Formelle språk
            • Forøkende sti - Augmenting Path
            • Fritt trær
            • Fullt binærtre
            • Gale-Shapley
            • GENERIC-MST
            • Glissen graf - Sparse Graph
            • Grådige algoritmer
            • Grådighetsegenskapen
            • Graf
            • Grafrepresentasjon
            • Hamiltonian cycle problemet (HAM-CYCLE)
            • Hashtabell
            • Hauger
            • Hauger - Heaps
            • Heap-Extract-Max
            • Heap-Increase-Key
            • Heap-Max
            • Heapsort
            • Heltallsteoremet
            • Hersk og splitt - Divide-and-Conquer
            • Heuristic programming
            • Heuristikk for å forbedre kjøretid
            • Huffmankoding
            • Hvordan bevise NPC generelt
            • Hvordan lage en hashfunksjon
            • Hvordan unngå kollisjoner - Collision Resolution Technique
            • In-Place Algorithm
            • Independent uniform hash function
            • INITIALIZE-SINGLE-SOURCE
            • Inorder Tree Walk
            • Insertion Sort
            • Iteration Method
            • Johnsons algoritme
            • Kant
            • Kantklassifisering
            • Kapasitet
            • Kapittel 1 - The Role of Algorithms in Computing
            • Kapittel 2 - Getting Started
            • Kapittel 3 - Characterizing Running Times
            • Kapittel 4 - Divide-and-Conquer
            • Kapittel 6 - Heapsort
            • Kapittel 7 - Quicksort
            • Kapittel 8 - Sorting in Linear Time
            • Kapittel 10 - Elementary Data Structures
            • Kapittel 11 - Hash Tables
            • Kapittel 12 - Binary Search Trees
            • Kapittel 15 - Greedy Algorithms
            • Kapittel 16 - Amortized Analysis
            • Kapittel 19 - Data Structures for Disjoint Sets
            • Kapittel 20 - Elementary Graph Algorithms
            • Kapittel 21 - Minimum Spanning Trees
            • Kapittel 22 - Single-Source Shortest Paths
            • Kapittel 23 - All-Pairs Shortest Paths
            • Kapittel 24 - Maximum Flow
            • Kapittel 25 - Matchings in Bipartite Graphs
            • Kjeding - Chaining
            • Kø - Queue
            • Kolisjon - Collision
            • Kompleksitetsklassene
            • Korteste vei fra alle til alle
            • Korteste vei fra en til alle
            • Left
            • Lenket liste - Linked List
            • Lett kant
            • LINK
            • LIST-PREPEND
            • LIST-SEARCH
            • MAKE-SET
            • Maksimal flyt - Maximum flow
            • Maksimum bipartitt matching
            • Master-theorem
            • Max-flow min-cut Teoremet
            • Max-Heap-Extract-Max
            • Max-Heap-Increase-Key
            • Max-Heap-Insert
            • Max-Heap-Maximum
            • max-heap-property
            • Max-Heapify
            • max-heaps
            • max-priority queues
            • Merge
            • Merge-Sort
            • Metoder for å finne minimale spenntrær
            • min-heap property
            • min-heaps
            • Minimale spenntrær
            • Minimalt snitt og heltallsteoremet
            • MST-KRUSKAL
            • MST-PRIM
            • Multiplikasjon,shift metoden - Multiply-shift method
            • Multiplikasjonsmetoden - Multiplication Method
            • Nabolister
            • Nabomatrise
            • Nabomatriser
            • Naiv Algoritme
            • Nettoflyt
            • NP definert ved formelle språk
            • NP problem
            • NP-harde problemer (NPH)
            • NP-komplett problem (NPC)
            • NP-komplett ved formelle språk
            • NP-Kompletthet
            • NPC problemer
            • Optimal Delstruktur
            • Optimeringsproblemer
            • Optimum
            • Overlappende Delinstanser
            • Oversikt AlgDat
            • P problem
            • P=NP
            • Parent
            • Partition
            • Pensumoversikt AlgDat
            • Perfekt binærtre
            • Polynomisk tid
            • PRINT-ALL-PAIRS-SHORTEST-PATH
            • Prioritetskøer - Priority queues
            • Problemer og Algoritmer
            • Quicksort
            • Radix-Sort
            • Random-access machine (RAM)
            • Randomized Partition
            • Randomized Quicksort
            • Randomized Select
            • Rang
            • Recurrence Equations
            • Recursion tree
            • Reduksjon ved formelle språk
            • Redusibilitet
            • Regularity Condition
            • RELAX
            • Representant-node
            • Restnett - Residual Network
            • RIGHT
            • Rotfast tre
            • Rotfaste trestrukturer
            • Ryggsekkproblemet
            • SAME-COMPOMENT
            • Sammenligningsalgoritme
            • SAT
            • Sentinels
            • SLOW-APSP
            • Sorteringsgrensa
            • Spenntrær
            • Spenntrær, kruskal og prim
            • Språkteori for NPC problemer
            • Stakk - Stack
            • Stirlings approximation
            • SUBSET-SUM
            • Substitution Method
            • Substring
            • Superpolynomisk tid
            • Topologisk sortering
            • Trær
            • Transitive Closure
            • Traveling Salesman Problem (TSP)
            • Traversering av grafer
            • Tree-Insert
            • Tree-Search
            • Trygg kant
            • UNION
            • Union etter rang - Union By Rank
            • Untitled
            • Urettet trær
            • Vektede grafer
            • Verifikasjonsalgoritme
            • VERTEX-COVER
              • Assigment 4
              • Assignment 3
              • Assignment 5
              • Assignment 6
              • Assignment 7
              • Assignment 9
              • Assignments
              • Untitled
            • Aliasing
            • Aliasing - Folding
            • Autocorrelation
            • Autocorrelation estimators
            • Autoregressive (AR) Process
            • Autoregressive, Moving Average (ARMA) process
            • Bandlimited Signal
            • Chapter 5 - Frequency-Domain Analysis of LTI Systems
            • Chapter 12 - Linear Prediction and Optimum Linear Filters
            • Circular Convolution
            • Crosscorrelation
            • Decimation
            • Design of Digital Filters - FIR, IIR
            • DFT - Discrete Fourier Transform
            • DFT - Discrete Fourier Transform for Filtering and Frequency Analysis
            • Direct form 1 - DF1
            • Direct form 2 - DF2
            • Discrete Random Signals
            • DTFT - Discrete Time Fourier Transform
            • Energy Density Spectrum
            • Energy spectral density
            • Ensemble Average
            • Ergodic process
            • Estimation Basics and Periodogram
            • FFT- Fast Fourier Transform
            • Filter Structures
            • Finite Geometric Series
            • Finite-Precision Effects
            • Forward Linear Prediction
            • Frequency-Domain Analysis of LTI Systems
            • Gauss-Markov Process
            • Geometric series
            • Input-output correlations
            • Interpolation
            • Inverse Z-transform and Residues
            • Linear Phase
            • Linear Prediction
            • Minimum-Phase
            • Modeling of Stochastic Processes
            • Moving Average (MA) process
            • Multirate signal processing
            • Noise-Whitening Filter
            • Nyquist Sampling Theorem
            • Power Density Spectrum (PDS)
            • Quantization in digital filters
            • Radix-2 FFT
            • Rate
            • Region of Convergence
            • Relationship between DTFT and DFT
            • Sampling and Reconstruction Of Signals
            • Sampling Theorem
            • Signals
            • Stochastic Processes
            • Stochastic signal
            • Time Domain Aliasing
            • Untitled
            • Wagon Wheel Effect
            • Wide-sense stationary process
            • Wiener Filter
            • Wold representation
            • Yule-Walker equations
            • Yule-Walker Method for AR Model Parameters
            • Zero Padding
            • TDT4120_forelesningsplan_h2023
              • Assignment 4
              • Assignment 5
              • LinSys Assignment 2
              • LinSys Assignment 3
                • Linsys lab forberedelser dag 2
                • Linsys lab forberedelser dag 3
                • Linsys lab forberedelser dag 4
                • Linsys lab dag 2
                • Linsys lab dag 3
                • Linsys lab dag 4
              • Report
            • Addivity
            • Algebraic Equivalence
            • Algebraic Ricatti Equation
            • Asymptotic Stabillity
            • Autocovariance
            • Band-limited Differentiation
            • Basis
            • BIBO Stability
            • Canonical Decompositions
            • Canonical Forms
            • Causality
            • Cayley Hamilton Theorem
            • Certainty Equivalence
            • Chapter 1 - Introduction
            • Chapter 2 -Mathematical Descriptions of Systems
            • Closed-loop Estimator - Luenberger Observer
            • Colored Noise
            • Colored Noise in Kalman Filter
            • Comprime
            • Controllability
            • Controllability Gramian
            • Controllability Index
            • Controllability Matrix
            • Controllable Canonical Form
            • Controllable Form
            • Conveyor Belt Case Study
            • Covariance Matrix
            • Covariance Matrix of the Estimation Error
            • Deterministic process
            • Diagonal Form
            • Discrete Time Covariance Matrix of the Estimation Error
            • Discrete Time Kalman Filter
            • Discrete Time Kalman Gain Matrix
            • Discretization
            • Dual System
            • Duality
            • Equivalent Representations of Systems and Matrices
            • Equivalent Systems
            • Estimate Update Law
            • Estimation Error
            • Euler Discretization
            • Exact discretization
            • Exponential Stability
            • Functions of a Square Matrix
            • Functions of Finite Polynomials
            • Homogeneity
            • Improper Transfer Function
            • Integral Effect
            • Internal Stability
            • Jordan Block
            • Jordan Form
            • Kalman Filter
            • Kalman Filter for Time Varying Models
            • Kalman Filter in Continuous Time
            • Kalman Gain
            • Leading Principle Minors
            • Lecture 2 - Equivalent representations, canonical forms, functions of square matrices
            • Lecture 3 - Discretization, Controllability, State feedback
            • Lecture 4 - State feedback, Optimal control
            • Lecture 5 - Realizations, Observability
            • Lecture 6 - State estimation and the separation principle
            • Lecture 7 - Stability
            • Lecture 8 - Canonical Decompositions and Minimal Realizations
            • Lecture 9 - Random Processes
            • Lecture 10 - Random State Space Systems
            • Lecture 11 and 12 - The Kalman Filter
            • Linear System
            • LinSys; Linear Quadratic Regulator - LQR
            • LQR and Kalman Filter Duality
            • Lyapunov Test for Controllability
            • Lyapunov Test for Stability
            • Lyapunov Theorem
            • Marginal Stability
            • Matrix rules and tricks
            • Measurement Equation Inversion
            • Memoryless system
            • Minimal Realization
            • Minimal realizations
            • Modal Form
            • Multi-input Controllability
            • Noise Supression
            • Nonsingular matrix
            • Null Space
            • Nullity
            • Observability
            • Observability Gramian
            • Observability Matrix
            • Open-loop Estimator
            • Output feedback controller
            • Overview LinSys
            • Popov-Belevitch-Hautus Test
            • Positive-Definite Matrix
            • Proper
            • Proper Transfer Function
            • Random processes
            • Random State Space Systems
            • Real constant matrix
            • Realizations
            • Reference Feed-Forward
            • Separation Principle
            • Similarity Transform
            • Stability
            • Stability in Discrete Time
            • Stabilizability
            • State Estimation
            • State Feedback, and Optimal Control
            • State Space Representation
            • State-feedback
            • Stationary Random Processes
            • Strictly Proper Transfer Functions
            • Superposition
            • Symmetric Matrix
            • Time Invariance
            • Transformation Matrix
            • TTK4115-Pensum Oversikt
            • Zero-state Equivalence
              • TekLed Økonomi Eksamen
                • Øving 1
                • Øving 2
            • Balansen
            • Bedriftssimulator
            • Beslutningstrær
            • Beta - enkeltaksjers bidrag til porteføljerisiko
            • Bruk av kapitalverdimodellen
            • Budsjettering
            • Capital Asset Pricing Model - CAPM SLASH Kapitalverdimodellen - KVM
            • Debet og kredit
            • Dekningsbidrag
            • Dekningsgrad
            • Diskonteringsrente
            • Dobbel bokføring
            • Dødvektstap
            • Egenkapitalrentabilitet R_EK
            • Ekstraordinære kostnader
            • Erfaringsgoder
            • Etterspørsel (Q(P))
            • Etterspørselselastisitet (ε)
            • Finansieringsanalyse-gjeldsgrad og soliditet
            • Finansregnskapet
            • Følsomhetsanalyse
            • Forelesningsplan
            • Fortjeneste
            • Frikonkurranse
            • Giring - bruk av lån til å øke egenkapitalrentabiliteten
            • Gjeldsgrad
            • Gjennomsnittsinntekt (AR)
            • Gjennomsnittskostnad (AC)
            • Gjennomsnittsproduktiviteten til arbeid (GPL)
            • Grensen for diversifisering
            • Grunnleggende regnskapsbegreper
            • Grunnleggends regnskapsanalyse av finansregnskapet
            • Historisk risiko og avkastning
            • Indirekte kostnader
            • Inntakskost (Direkte kostnad)
            • Inntekt og marginalinntekt (TR, MR)
            • Internregnskapet
            • Internrenteberegning og bruk av internrenten
            • Investeringer
            • Isokostnadskurven
            • Isokvanter
            • Kalkyle etter bidragsmetoden
            • Kalkyle etter selvkostmetoden
            • Kalkyler
            • Kapittel 6 - Organisasjonsstruktur
            • Kapittel 13 - Mikroøkonomi og markedsformer
            • Kapittel 14 - Regnskapsanalyse og økonomistyring
            • Kapittel 15 - Investeringsanalyse
            • Konsumentoverskudd KO
            • Kortsiktige produksjonsfunksjoner
            • Kostnad
            • Kostnader (TC, VC, FC, AC)
            • Kostnadsbegreper
            • Kostnadsbudsjett
            • Kostnadsstruktur
            • Kredittrisiko
            • Læringskurveeffekt
            • Langsiktige produksjonsfunksjoner
            • Likviditetsanalyse
            • Likviditetsbudsjett
            • Likviditetsgrad 1
            • Likviditetsgrad 2
            • Lønnsomhetsanalyse-total-og egenkapitalrentabilitet
            • Loven om avtakende marginalprodukt
            • Mål på risiko
            • Marginalkostnad (MC)
            • Marginalproduktiviteten til arbeid (MPL)
            • Markeder med frikonkurranse
            • Markeder med to eller få produsenter (duopol,oligopol)
            • Markedsportefølje
            • Mikroøkonomisk teori som modellapparat
            • Modigliani og Millers andre proposisjon - MnM II
            • Modigliani og Millers første proposisjon - MnM I
            • Monopol og dødvektstap
            • Monopol, duopol og oligo poler
            • Monte Carlo simulering
            • Nash-likevekt
            • Naturlige monopoler
            • Nåverdi NV
            • Nåverdiberegninger
            • Negative skalaeffekter - Skalaulemper
            • Nettonåverdi NNV
            • Nullpunkt
            • Nullpunktsanalyser
            • Pareto-optimal
            • Pekuniære skalaeffekter
            • Portefølje
            • Porteføljerisiko
            • Positive skalaeffekter
            • Pristilpassere
            • Produsentoverskudd PO
            • Profitt (Ⲡ) og analyse av profitt
            • Profitt og analyse av profitt
            • Reelle skalaeffekter
            • Rentedekningsgrad
            • Resultatbudsjett
            • Resultatregnskapet
            • Risiko og avkastning
            • Risikoanalyse
            • Samfunnsøkonomisk dødvektstap
            • Samfunnsøkonomisk lønnsomhet SO
            • Sammenheng etterspørselselastisitet og marginalinntekt
            • Scenarioanalyse
            • Selskapets kapitalkostnad og verdipapirmarkedslinjen
            • Selvkost
            • Selvkostkalkyle i handelsbedrifter
            • Sharpe Ratio
            • Sikkerhetsmargin
            • Skalaavkastning
            • Søkegoder
            • Soliditetsgrad
            • T-konto
            • Teknologi, substitusjon og isokvanter
            • Tidsverdi
            • Tilbud og markedslikevekt
            • Tillitsgoder
            • Totalrentabilitet R_TK
            • Ulike markedesformer
            • Utbetaling
            • Utgift
          • Leseplan - 5. Semester
              • Estimation 1 - MVU and CRLB
              • Estimation 2 - Linear models, BLUE, MLE, and Bayesian Estimators
              • Overview Estimation
              • README for classification project
              • The Iris Task
              • The MNIST Task
            • Asymptotic Properties of the MLE
            • Bayes Decision Rule
            • Bayes Risk
            • Bayes Theorem
            • Bayes' Law
            • Bayesian Detection
            • Bayesian Estimation
            • Bayesian Estimators
            • Bayesian MSE Estimators
            • Best Linear Unbiased Estimator (BLUE)
            • Binary Hypothesis
            • Central Moments of a Random Variable
            • Classical Estimation
            • Classifiers based on Bayes Decision Theory
            • Clustering
            • Confusion Matrix for Hypothesis Testing
            • Cramer-Rao Lower Bound
            • Decision Regions
            • Density Estimation
            • Detector
            • Efficient Estimator
            • Estimation Theory
            • Fisher Matrix
            • General Bayesian Estimators
            • General Linear Model
            • Independent and Identically Distributed Random Variables
            • Invariance Property of the MLE
            • K-means Clustering
            • Lecture 1 - Course Description
            • Lecture 2 - Review of Probability Theory, Random Variables and Stochastic Processes
            • Lecture 3 - Minimum-Variance Unbiased Estimation
            • Lecture 9 - Hypothesis Testing
            • Lecture 10 - Neyman-Pearson and Bayesian Detectors
            • Lecture 11&12 - Matched Filter and Replica Correlator
            • Lecture 14&15 - Classification and Classification Systems
            • Lectures Estimering
            • Likelihood Function
            • Likelihood-Ratio Test
            • Linear Classifier
            • Linear Discriminant Function
            • Linear Mapping
            • Linear Model
            • Linear Model with Non-White Noise
            • Linear Separable Problem
            • Mean Square Error
            • Minimum Mean Square Error
            • Minimum Probability of Error
            • Minimum Variance Unbiased Estimator
            • Moments of a Random Variable
            • Multiple-Hypotheses Testing
            • Neyman-Pearson Theorem
            • Noise Covariance Matrix
            • Non-Separable Problem
            • Nonlinear Separable Problem
            • Nonparametric Techniques
            • Observation Space
            • On-off Keyed Communication
            • Parzen-Window
            • Power of Test
            • Receiver Operating Characteristics
            • Reciever
            • Reinforcement Learning
            • Semi-Supervised Learning
            • Sigmoid
            • Size of Test
            • Statistical Independence
            • Sufficient Statistic
            • Supervised Learning
            • The Best Linear Unbiased Estimator
            • The Estimator for the Linear Model
            • The Maximum Likelihood Estimator
            • The Maximum-a-posteriori Estimator
            • The Minimum Variance Criterion
            • TTT4275 - Estimering, deteksjon og klassifisering
            • Unbiased Estimator
            • Unsupervised Learning
            • Untitled
            • With Regards To
              • Assignment 1 - Introduction to modsim
              • Assignment 2 - Kinematics 1
              • Assignment 3 - Kinematics 2
              • Assignment 4 - Newton-Euler
              • Assignment 5 - Lagrange 1
              • Assignment 6 - Lagrange 2
              • Assignment 7 - Basic Bond Graphs 1
              • Assignment 8 - Basic Bond Graphs 2
              • Overview Exam ModSim
            • Acceleration Form
            • Accuracy of the Forward (Explicit) Euler Method
            • Angle Axis Representation
            • Angular Acceleration
            • Angular Momentum
            • Angular Velocities
            • Basic 1-port Elements
            • Basic 2-port Elements
            • Basic Elements
            • Basic Hydraulic Components
            • Butcher Tableau
            • Causal Stroke
            • Cheat sheet for exam
            • Composite Rotation Transformation
            • Configuration Space
            • Consistency Condition
            • Constrained Lagrange
            • Course Recap
            • Differential Algebraic Equations
            • Differential Index
            • Effort
            • Energy Flow Direction
            • Euler Angles
            • Euler Half-Step
            • Euler-Lagrange Equation
            • Flow
            • From a Vector to a Skew Symmetric Matrix
            • Generalized Coordinates
            • Generalized Forces
            • Generalized Momentum Force
            • Global Error
            • Hydraulic system modelling procedure
            • Kinematics Module
            • Kinetic Energy
            • Kinetics in Linear Motion
            • Kinetics in Rotation
            • Lagrange Equation
            • Lagrange Mechanics
            • Lecture 01 - Introduction
            • Lecture 02 - Modelling and Simulation
            • Lecture 03 - Kinematics 1
            • Lecture 04 - Kinematics 2
            • Lecture 05 - Kinematics 3
            • Lecture 06 - Kinematics 4
            • Lecture 07&08 - Rigid Body Dynamics 1&2
            • Lecture 09&10 - Rigid Body Dynamics 3&4
            • Lecture 11&12 - Rigid Body Dynamics 5&6
            • Lecture 13&14 - System Dynamics
            • Lecture 15 - Basic System Modelling 3
            • Lecture 16 - Basic System Modelling 4
            • Lecture 17&18 - Basic System Modelling 5&6
            • Lectures ModSim
            • Linear Acceleration
            • Linear Momentum
            • Linear Velocity
            • Linear Velocity of a Point That Is Fixed Within a Rotating Reference Frame
            • Mid-Point Method
            • New Lagrangian
            • Newton-Euler Equations of motion
            • Notation ModSim
            • Numerical Simulation
            • Ordinary Differential Equation
            • Parallel Axis Theorem
            • Potential Energy
            • Power Bonds
            • Power Variables and Energy Variables
            • Principal Rotation Matrix
            • Procedure for Modelling Electrical Systems
            • Procedure for Modelling Mechanical Systems
            • Properties of Rotation Transform Matrices
            • Punctual Mass
            • Recap Rigid Body Dynamics
            • Reference Frame
            • Reynolds Number
            • Rotation Matrix
            • Rotation Transformation
            • Skew-Symmetric Cross Product Matrix Formula
            • Skew-Symmetric Matrix
            • Stability of the Forward Euler Method
            • State Space Formulations
            • Subsystems
            • Tetrahedron of State
            • Transformer Element
            • TTK4130 - Modellering og simulering
                • General Information
                • Helicopter Lab Day 1
                • Helicopter Lab Day 2
                • Helicopter Lab Day 3
                • Helicopter Lab Day 4
                • Helicopter Lab Report
                • Matlab Assignment 1
                • Matlab Assignment 2
                • Matlab Assignment 3
                • Matlab Assignment 4
                • Matlab Assignment 5
                • Matlab Assignment 6
              • Exercise 0 - Matrix Calculus
              • Exercise 1 - The KKT Conditions
              • Exercise 2 - LP and KKT Conditions
              • Exercise 3 - LP, QP, and KKT Conditions
              • Exercise 4 - Quadratic Programming
              • Exercise 5 - Open-Loop Optimal Control and MPC
              • Exercise 6 - MPC and LQR
              • Exercise 7 - Riccati Equation and State Estimation
              • Exercise 8 - Unconstrained Optimization
              • Overview OptReg Exam Period
              • Exercise 4 - Quadratic Programming
              • Exercise 5 - Open-Loop Optimal Control and MPC
              • Exercise 6 - MPC and LQR
              • Exercise 7 - Riccati Equation and State Estimation
              • Exercise 8 - Unconstrained Optimization
              • General Information
              • Helicopter Lab Day 2
              • Helicopter Lab Day 3
              • Helicopter Lab Day 4
              • Helicopter Lab Report
              • Matlab Assignment 2
              • Matlab Assignment 3
              • Matlab Assignment 4
              • Matlab Assignment 5
              • Matlab Assignment 6
              • Lectures OptReg
              • TTK4135 - Optimalisering og regulering
            • ∞-norm
            • 1-norm
            • 2-norm
            • Active Set
            • Active-Set Method for Convex QP
            • Basic Feasible Point (BFP)
            • BFGS update formula
            • Bias Update
            • Common Vector Norms (p-norms)
            • Condition Number
            • Constrained Problem
            • Constraint Qualification
            • Convex Objective Function
            • Convex Optimization Problem
            • Critical Cone
            • Degeneracy
            • Descent Directions
            • Detectability
            • Duality for Nonlinear Programming
            • Dynamic Optimization
            • Equality-Constrained Quadratic Programs
            • Example of Simplex Method
            • Feasible
            • Feasible Set
            • Fundamental Theorem of Linear Algebra
            • General Algorithm for Solving Unconstrained Optimization
            • General Dynamic Optimization Problem
            • General Optimization Problem
            • Gradient
            • Gradient With Respect to a Variable
            • Hessian
            • Horizon
            • Ill conditioned Matrix
            • Inequality Constraint
            • Infimum
            • Jacobian
            • KKT (Karush–Kuhn–Tucker) Conditions
            • KKT Matrix for Equality-Constrained QPs
            • Lagrangian
            • Lecture 1 - Optimization, What and Why?
            • Lecture 2 - Optimality Conditions
            • Lecture 3 - Optimality conditions, constraint qualifications, 2nd order optimality conditions
            • Lecture 4&5 - Linear Programming (LP)
            • Lecture 6&7 - Quadratic Programming
            • Lecture 8 - Open-Loop Dynamic Optimization
            • Lecture 9 - Linear Quadratic Control
            • Lecture 10 - Model Predictive Control
            • Lecture 11 - Practical use of MPC
            • Lecture 12 - Summing up MPC and LQ
            • Lecture 13 - Unconstrained Optimization
            • Lecture 15 - Quasi-Newton
            • Lecture 16 - Calculating Derivatives and Derivative-Free Optimization
            • Line Search Methods
            • Linear Independence Constraint Qualification
            • Linear Programming
            • Lipschitz Continuity
            • LU Decomposition
            • Matrix Factorization
            • Matrix Inversion Lemma
            • Mean Value Theorem
            • Necessary Condition
            • Newton Direction
            • Newton's Method for Nonlinear Equations
            • Nominal Stability
            • Nonlinear Equations
            • One step of Simplex-Algorithm
            • Optimality Conditions
            • Optimization
            • Positive-Semidefinite Matrix
            • Properties of Linear Programming Problems
            • Quadratic Programming Problem on Standard Form
            • Quasi-Dynamic Optimization
            • Quasi-Newton
            • Range Space
            • Robust Stability
            • Rosenbrock Function
            • s
            • Scaling
            • Secant Equation
            • Second-Order Necessary Conditions (SONC)
            • Second-Order Sufficient Condition (SOSC)
            • Sensitivity
            • Sensitivity Analysis
            • Sequential quadratic programming
            • Simplex Method
            • Slack Variable
            • Standard LP
            • Static Optimization
            • Steady State
            • Steepest Descent
            • Step Length
            • Strong Duality
            • Sufficient Condition
            • Taylors Theorem
            • Termination Criteria
            • The Dual LP Problem
            • The Feasibility Problem
            • The Set of Linearized Feasible Directions
            • Transforming a Linear Programming Problem Into Standard Form
            • Types of Constrained Optimization Problems
            • Weak Duality
            • Well-Conditioned Matrix
            • Wolfe Condition
              • Code Quality Trial Exam
              • Conditional Critical Region
              • Critical Region
              • Fixed-Priority Scheduling
              • Introducing Shared Variable Synchronization Trial Exam
              • Monitors
              • Mutual Exclusion
              • Overview Exam Sanntid
              • Producer-Consumer
              • Response Time Analysis for FPS
              • Scheduling
              • Scheduling Test
              • Shared Variable Synchronization Trial Exam
              • Shared Variable-Based Synchronization and Communication
              • Static and Dynamic Scheduling Scheme
              • Task-based Scheduling
              • The Cyclic Executive Approach
              • Utilization-Based Schedulability Test for FPS
              • V2023
              • 2 - Concurrency
                • Exercise1
                • questions
                • result
                • README
                • resources
                • working-from-home
                • README
                • README Ex4
                • 2 - Concurrency
                • 3 - Networking
                • 6 - Designing for Crashability
                • Success Detection
                • Supervisor
                • Peer Review
                • README for elevator project
                • Untitled
                • Untitled 1
                • Work-log Project
              • Peer Review
              • README for elevator project
              • Untitled
              • Untitled 1
              • Work-log Project
            • Acceptance Test
            • ACID properties
            • Atomic Actions
            • Atomic Actions, Concurrent Tasks and Reliability
            • Atomic Operation
            • Atomic Transactions
            • Atomicity
            • Backward Error Recovery
            • Basic Fault Tolerance
            • Checkpoint-Restart
            • Concurrent Events
            • Consistency
            • Context Switch
            • Cooperative Scheduling
            • Coordinator
            • Domino Effect
            • Durability
            • Dynamic Redundancy
            • Encapsulation
            • Execution Model
            • Failure Modes
            • Fault Model and Software Fault Masking
            • Fault Prevention
            • Fault Tolerance
            • Forward Error Recovery
            • How Sleep Works
            • Intelligent Design
            • Isolation
            • Lecture 2&3 - Code Quality
            • Lectures sanntid
            • Lightswitch
            • Maintainable System
            • Module
            • N-Version Programming
            • Preemptive Scheduling
            • Process Pair
            • pthread
            • pthread_create()
            • Race Conditions
            • Redundancy
            • Reliable Calculations
            • Reliable Communication
            • Reliable Data Storage
            • Scheduler
            • Semaphores
            • Shared Variable Synchronization
            • Sockets
            • Source D-Compiler
            • Starting a Thread
            • Synchronization
            • TCP (Transmission Control Protocol)
            • The Resumption Model of Asynchronous Notification Handling
            • Thread
            • Thread Swapping
            • Transactions
            • TTK4145 - Sanntidsprogrammering
            • Turnstile
            • Two-Phase Atomic Actions
            • UDP (User Datagram Protocol)
            • Week 9 - Atomic Actions, Leaving backward error recovery
          • Timeplan 6.semester
              • CG Assignment 1
              • CG Assignment 2
              • IP Assignment 2
            • 2D manifold
            • 3D Rasterization Pipeline
            • Affine Combination
            • Affine Transformation
            • Back-Face Culling
            • Bidirectional Reflectance Distribution Function
            • Catmull's Algorithm
            • Center of Projection
            • CG Anti-Aliasing
            • CIE XYZ Color Model
            • Clipping
            • Cohen-Sutherland Algorithm
            • Color Model
            • Convex Affine Combination
            • Erosion
            • Eye Coordinate System
            • Finite Differences
            • Frustum Culling
            • Graphics Pipeline
            • Greiner-Hormann Algorithm
            • Grid Traversal
            • Hidden Surface Elimination
            • Illumination Model
            • Inner Product
            • Liang-Barsky Algorithm
            • Morphological Image Processing
            • Normalized Device Coordinates
            • Occlusion Culling
            • Oversikt Gruvis
            • Parallel Projection
            • Perspective Projection
            • Phong Illimunation Model
            • Primitives
            • Projection
            • Rasterization
            • Region Growing
            • RGB Color Model
            • Scene Managment
            • Scene-Graphs
            • Sutherland-Hodgman Algorithm
            • TDT4195 - Grunnleggende visuell databehandling
            • Transformations
            • Vertex Array Object
            • Vertex Attribute Pointer
            • Vertex Attributes
            • Z-Buffer Algorithm
              • Assignment 1
              • Assignment 2, Part 1
              • Assignment 2, Part 2
              • Assignment 2, Part 3
              • Assignment 2, Part 4
              • Assignment 2, Part 5
            • Chapter 2 - Kinematics
            • Chapter 3 - Rigid-Body Kinetics
            • Crab Angle
            • Global Asymptotic Stability
            • Hydrostatics
            • Lyapunov Stability
            • Maneuvering Models
            • Oversikt NavFart
            • Radially Unbounded
            • Rigid-Body Kinetics
            • TTK4190 - Navigasjon og Fartøystyring
                • CA 2
                • Computer Assignment 1
              • Assignment 1
              • Assignment 2
              • Assignment 3
              • Assignment 4
              • Assignment 5
              • Assignment 6
            • Attitude Representations
            • Axioms of Probability
            • Bayesian Networks
            • Belief Propagation
            • Chapman - Kolmogorov Equation
            • Chapter 2 - Foundations of Probability Theory
            • Characteristic Function
            • Chi Squared Distribution
            • Clutter
            • Dead Reckoning
            • Fast-SLAM
            • From the Kalman filter to stochastic processes
            • Gamma Distribution
            • Gamma Function
            • Gauss-Newton
            • Gaussian Mixtures
            • Generating Functions
            • Hybrid Chapman - Kolmogorov
            • Information Form
            • Integrated Probabilistic Data Association
            • Interacting Multiple Models
            • Joint Probabilistic Data Association
            • Joseph Form
            • Markov Random Fields
            • Moment-Generating Function
            • Multi Target Tracking
            • Multivariate Gaussian
            • Normalized Estimation Error Squared
            • Normalized Innovations Squared
            • Particle Filter
            • Poisson Distribution
            • Poisson Point Process
            • Probabilistic Data Association Filter
            • Probability-Generating Function
            • Quaternions
            • Rao-Blackwellization
            • Sensor - Kalman Filter
            • Simultaneous Localization and Mapping
            • Single-Target Assumption
            • Single-Target Tracking
            • The Bayes Tree
            • The Error-State Kalman Filter
            • The Hybrid State Concept
            • The Product Identity
            • Total Probability Theorem
            • Transformation of Random Variable
            • TTK4250 - Sensorfusjon
            • White Gaussian Noise
            • Wiener Process
              • Poster Visfor
              • Reflection Note
              • Video VisFor
            • Data-Ink Ratio
            • Lecture 2 - Information and data visualization
            • Lecture 3 - How the brain works
            • Lecture 4 Graph and table design
            • TPD4114 - Visuell formidling
          • Timeplan 7. Semester
            • Landsby Informasjon
            • Valg av landsby
          • Eigenvectors and Eigenvalues
        • README
        • Callouts
          • Colcon
          • Colcon build
          • RQt
          • rqt_graph
            • Index.js
          • Format
        • Annotating Data
        • Building Open-CV with Cuda jetsson
        • Clang
        • Debugger with ROS2 and C++
        • Enable Scrolling in tmux
        • Fix obsidian git for ipad
        • Forward SSH key over SSH
        • Git Large File Storage
        • Idun HPC
        • Image Viewer ROS2
        • Language server C++ (ROS2)
        • Open Neural Network Exchange
        • Orin-NX
        • Profiler
        • Prompts
        • pull submodules
        • ROS 2
        • ROS2 Developer guide
        • Setting up ROS2 project
        • shared object
        • Show Interface ROS2
        • Slurm
        • ssh-agent forwarding
        • YOLO in C++
        • YOLOv8
        • Basic function plotting in tikz
        • Circuittikz
        • Pgfplots
        • Tikz-cd
      • README
    Home

    ❯

    NTNU

    ❯

    5. Semester

    ❯

    Algoritmer og Datastrukturer

    ❯

    FIND-SET

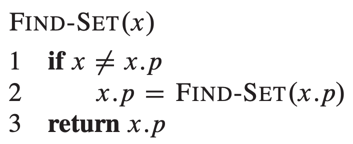
    FIND-SET

    Jan 06, 2025, 1 min read

    Finner Representant-node i en mengde.


    Graph View

    Backlinks

    • Banesammenligning - Path Compression
    • Disjunkte mengder
    • Minimale spenntrær
    • UNION

    Created with Quartz v4.2.2 © 2025

    • GitHub
    • Discord Community