Resources:


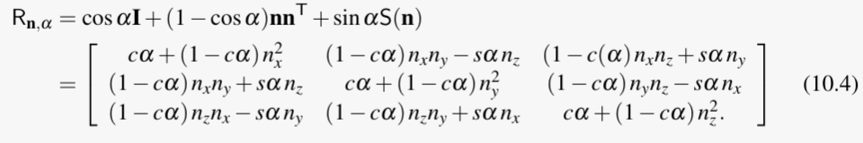
Can be summarized by Rodrigues rotation formula

Where:

  • is the vector in the body frame of the vehicle
  • is the same vector in the world frame
  • is a tree-dimensional vector (the axis)
  • is a scalar angle

Which again can be written as

Around the -axis if , or generally as

Where , and is the Skew-Symmetric Matrix.

Why use angle axis representation?

An alternative representation to avoid singularity issues that arises when using Euler Angles.

  • Useful for a fighter jet since it can be any rotation, but for a ship you can put the singularity point when it is upside down.