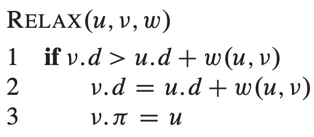
Oppdater den korteste veien for en node, dersom man går en annet rute. Hvis dette skjer, oppdater forgjengeren ().

Search
Jan 06, 2025, 1 min read
Oppdater den korteste veien for en node, dersom man går en annet rute. Hvis dette skjer, oppdater forgjengeren (π).
