Engelsk - Heaps En form for Trær (trestruktur), og har mye til felles med Binære søketrær. Er derimot litt mer spesialisert.

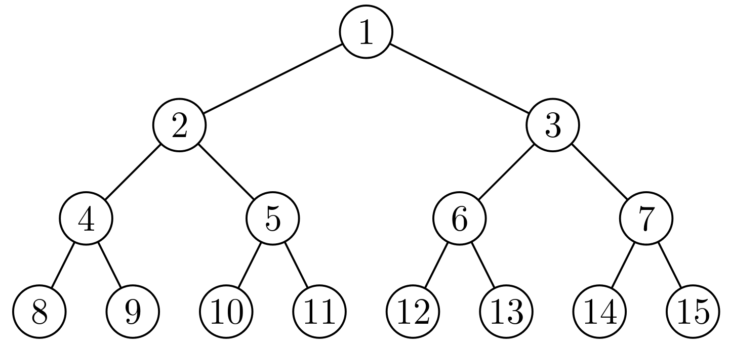
NB: Dette er nummerering, ikke verdier Barna til node og

Egenskaper

  • Alltid balansert
  • Så komplett/perfekt som strukturen tillater

Struktur