In this assignment we will study how we can use power bonds to connect submodel into a system model.
Problem 1 (Steering Mechanism)


a)
Based on the Causal Stroke, we can determine the direction of the Flow and Effort when creating a block diagram

b)

Problem 2 (Two Rotating Shafts)

a)

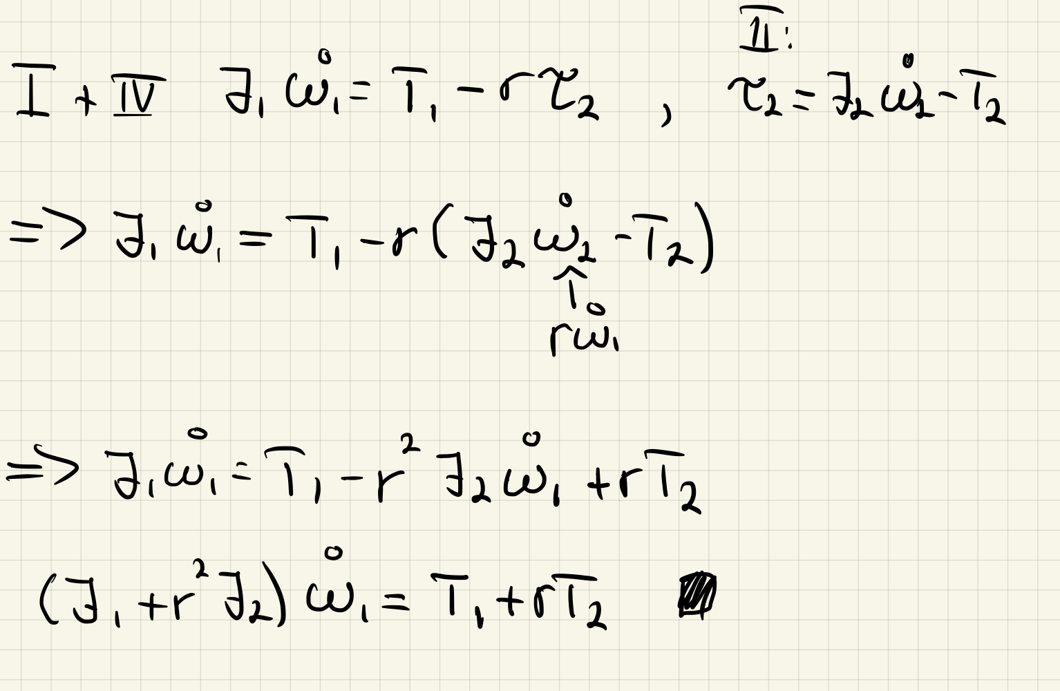
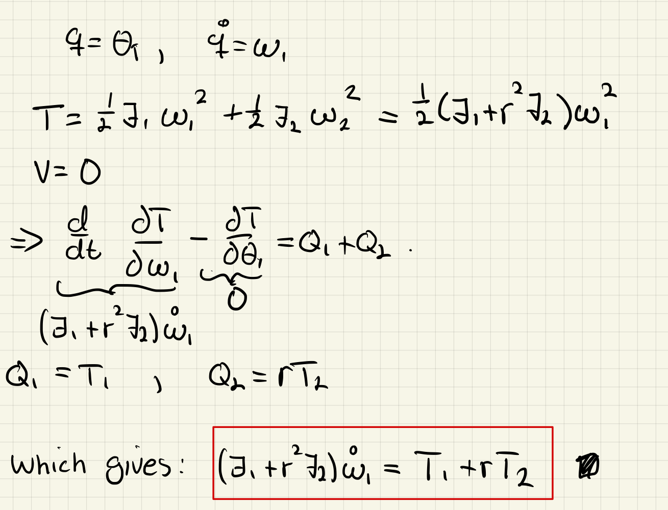
b)


c)
