Resources: page=108 6.2.3
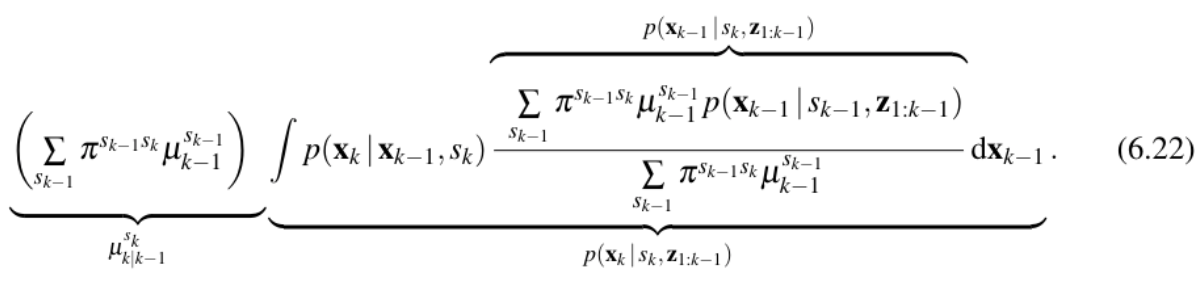
When we have both a continuous Markov model and a mode (discrete) Markov model. The formula is given by

Search
Jan 06, 2025, 1 min read
Resources: page=108 6.2.3
When we have both a continuous Markov model and a mode (discrete) Markov model. The formula is given by
p(xk,sk∣z1:k−1)=
