Wiener Filter
Used for signal estimation, very similar to Kalman Filter. We also filter out the unwanted signal, .
Optimal MSE Filtering
We want to minimize the MSE, and find this filter
Where D is the desired signal, and Y is what we measure.
Optimum MSE FIR Wiener Filter
Resources: 12.7.1
Noncausal IIR Wiener Filter
Resources: 12.7.4
Link to original
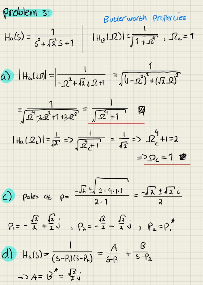
c)

d)

The rectangular window typically shows sharper cutoff but more pronounced sidelobes (ripples in the stopband).
The Hamming window has a smoother transition band and reduced sidelobes, offering better overall frequency response characteristics in many applications.

e)
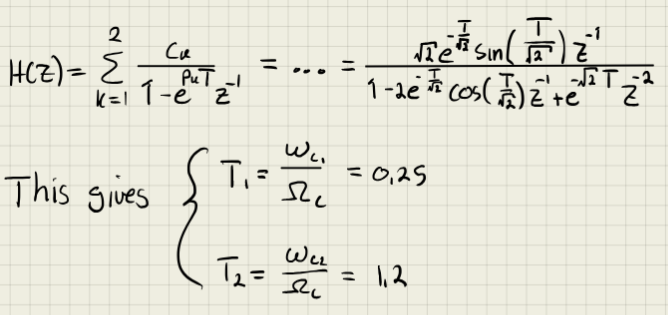
Using this instead
Gives us this response
Which is exactly the same as before
Problem 2

b)

Problem 3

