Gitt et flytnett og et Restnett - Residual Network, returnes den maksimale flyten.
Kjøretid: , der er Maksimal flyt - Maximum flow.
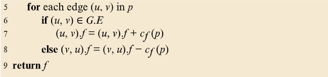
Pseukode til pseudokoden

Virkemåte
Ved første steg har vi ingen flyt ennå, så derfor ser flytnettet og Restnett - Residual Network vårt slik ut:
Algoritmen tar grådige valg (Grådige algoritmer), og leter alltid etter en Forøkende sti - Augmenting Path.
Sentral formel er
Hvor er flaskehalsen i restnettet, altså .
I tilfellet over kommer vi til å omdirigere flyt.